Skip to content

locusmath/locus

Repository files navigation

Locus

A specialised computer algebra system for topos theory.

Presheaf constructions

Classical mathematics defined a number of constructions on sets. We can start by generalizing these to presheaves.

Sets Presheaves
Subsets Subobjects
Partitions Congruences
Ordered sets Presheaves of posets
Topological spaces Presheaves of topologies
Rings Presheaves of rings
Structured sets Structure presheaves

The point is to determine as much as possible what constructions look like on presheaves instead of sets. So an example of this is that we can take the lattice of preorders previously defined on sets, and now define a lattice of preorders for any presheaf whose objects are presheaves of preorders. This applies to most structures which have presheaf generalisations.

Topos theory allows us to generalize several constructions from sets to presheaves. Set predicates correspond to subobject classifiers. Limits and colimits of sets can be generalized to presheaves. Structures on sets can be generalized to structures on presheaves, or to internal structures in a presheaf topos.

Presheaf visualisations

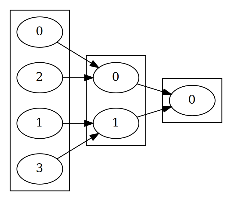
Locus can visualize presheaves of sets in one of two ways. The first is all at once using Graphivz clusters like below.

This works well for presheaves over partial orders. The category of elements, and its object preorder can be visualized for such simple presheaves. The second way they can be visualized is with the JavaFX viewer which lets you look at the functions of the presheaf one at a time:

nje

Separate visualisation routines are available for different types of presheaves of structures. Presheaves of unary relations are visualised by highlighting all elements in each unary relation a different color. Presheaves of setoids are visualised by using nested graphviz clusters.

Features

Locus is based upon the idea of organizing computation using presheaf theory.

  • the basic objects of locus of Locus are hierarchical cell complexes which are presheaves over certain tree ordered categories
  • the basic units of relationship in these hierarchical cell complexes are nary quivers, which generalize ordinary quivers to having any number of parallel edges. So these include binary quivers, ternary quivers, etc. Special implementations of nary quivers are provided.
  • the concepts of morphisms can be either heightened or widened, so you can either have higher morphisms of morphisms or different types of morphisms of objects. A two globular set has a higher morphism between morphisms. A dimorphic quiver is a quiver with different distinguished types of morphisms.
  • one categories can be represented by combining a ternary quiver with a binary quiver. Two categories are slightly more complicated: they have objects, morphisms, compositional 2-cells, two-morphisms, and compositional 3-cells with appropriate nary quivers between them.
  • n-globular sets can be formed in the same manner by chaining binary quivers
  • other tree like copresheaves include chains, triangles, cospans, multicospans, path quivers, functional quivers, and cofunctional quivers
  • spans and multispans are formed from copresheaves over upside down trees and they are also supported.
  • presheaves over various preorders: functional dependencies of nary relations as presheaves, disets, bijections, difunctions, dibijections, nsets, nfunctions, nbijections, diamonds, gems, ditriangles, cubes, trijections, multijections, and so on.
  • presheaves over monoids: MSets, GSets, and related structures.
  • presheaves over free categories: concrete quiver representations
  • support for presheaves over product categories: bicopresheaves, tricopresheaves, the hom functor, etc. Support for presheaves over coproduct categories and the construction of such presheaves by direct sum of simpler presheaves.
  • support for structured quivers including permutable quivers, unital quivers, and dependency quivers.
  • simplicial sets are supported so that categories can be represented as presheaves in the topos of simplicial sets
  • support for structures on presheaves. Subalgebras of presheaves are presheaves of unary relations and congruences of presheaves are presheaves of setoids. Preorderings on presheaves are simply presheaves of preorders.
  • support for presheaves over sites: sheaves as a special case in presheaf theory
  • support for structure presheaves using functors over concrete categories: presheaves of monoids, presheaves of preorders, presheaves of categories, presheaves of rings, etc
  • presheaf based approaches to higher structures using globular and simplicial sets
  • an enriched categories framework with support for a wide variety of types of structure: semiringoids, ringoids, ordered categories, lawvere metrics, two categories, linear categories, etc.
  • support for modules as ab-enriched structure presheaves of abelian groups
  • support for semimodules as cmon-enriched presheaves of commutative monoids
  • generic arithmetic support for a wide variety of data types: complex numbers, quaternions, matrices, polynomials, rational functions, power series, formal laurent series, etc
  • basic support for algebraic geometry
  • the hyperarithmetic of additive partitions
  • interfaces with apache commons math

Documentation

A user manual is provided in the documentation folder. It describes our original research into the topos theoretic foundations of computation and their implementation. A revised and updated version of the user manual will be developed soon.

Authors

John Bernier

License

Apache license version 2.0

Copyright © 2022 John Bernier

Version

1.5.6 release