组件,从概念上类似于 JavaScript 函数。它接受任意的入参(即 “props”),并返回用于描述页面展示内容的 React 元素。
组件允许你将 UI 拆分为独立可复用的代码片段,并对每个片段进行独立构思。
—— React官方文档[https://zh-hans.reactjs.org/docs/components-and-props.html]
组件允许我们将 UI 划分为独立的、可重用的部分,并且可以对每个部分进行单独的思考。
——Vue官方文档[https://cn.vuejs.org/guide/essentials/component-basics.html]
组件就是一段代码片段,用来实现指定的功能或渲染特定的UI。
第三方组件库如 antd,element-ui等提供的组件,以及 原生 dom 标签都是基础组件,它是我们构建一个应用的基础。
<Button></Button>
<el-button type="primary">主要按钮</el-button>
<div></div>展示型组件只通过 props 接受数据和回调函数,它可以包含展示和容器组件,但它不直接使用redux 等状态管理库 。
const Compoent = (props) => {
return (
<div>
<Input />
<Button>{props.searchButtonLabel}</Button>
</div>
);
};专门处理副作用,例如和 store 通信,一个页面通常就是一个容器组件,它需要准备页面所需的数据,以及组合出对应的UI
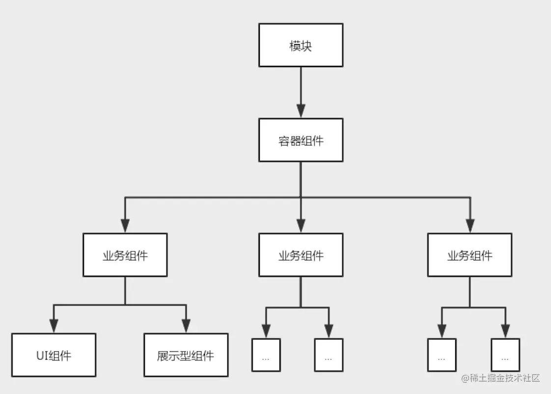
各个组件之间的协同关系:
子贡问曰:有一言而可以终身行之者乎?子曰:其恕乎!己所不欲,勿施于人。
好用:简洁的 api 设计和使用文档, 功能强大,无需知道其实现细节,无bug,方便,快捷。
易维护:良好的设计,完备的单元测试和文档。
到底有没有这样的规则可以遵循,让我们可以写好一个组件(好用和可维护)呢?
把大象装进冰箱需要几步?答:三步,把冰箱门打开,大象塞进去,关上冰箱门。
当我们拿到设计师提供 figma或sketch的设计稿,通常是以页面为单位,我们需要先对大的页面进行第一次拆分,拆分的原则也很简单:
不要尝试一次把所有部分一次性拆分完,如果你不确定,我们可以自顶向下,由外到内的方式拆分
分割线,背景颜色变化,元素之间间距
重复的部分通常都是列表类,统一拆分为一个部分
每次拆分尽量不超过三个部分
举个例子,以 Medium 网站主页分析:
根据设计稿中的分割线,我们可以按照以下拆分(我们可以打印出来,用方框圈出每一个部分):
此时整个划分为三个部分:
import React from "react";
const Medium = () => {
return (
<div>
<LeftSideBar />
<Main />
<RightSideBar />
</div>
);
};
export default Medium;接着我们可以继续按照上述规则继续拆分,例如按照间距和重复划分:
此时的页面在上面基础下,继续拆分为:
import React from "react";
const LeftSideBar = () => {
return (
<div>
<Logo />
<Nav />
<Account />
</div>
);
};
const Main = () => {
return (
<div>
<Filter />
<Articles />
</div>
);
};
const RightSideBar = () => {
return (
<div>
<GetUnlimitedAccessLink />
<SearchBar />
<ReadingList />
</div>
);
};
const Medium = () => {
return (
<div>
<LeftSideBar />
<Main />
<RightSideBar />
</div>
);
};
export default Medium;如果可以我们继续拆分,直到拆分到原子组件(基础组件)为止。这样我们会得到一个静态版本,这时还不是最终组件树。
每一个组件都应该只实现一个职责,并且只有一个改变状态的理由。
代码的维护性和质量和代码的复杂度是正相关的。单一职责原则可以让组件的复杂度降低,变得易于理解,进而提升组件的维护性和质量。
为了确保组件只做一件事,可以按照以下规则拆分组件:
举个例子,显示活跃用户列表的组件:
import React, { useState, useEffect } from "react";
type User = {
/** 是否被禁 */
isBanned: boolean;
/** 上一次活跃时间 */
lastActivityAt: Date;
/** id */
id: string;
/** 头像地址 */
avatarUrl: string;
/** 全名 */
fullName: string;
/** 角色 */
role: string;
};
const ActiveUsersList = () => {
const [users, setUsers] = useState<User[]>([]);
useEffect(() => {
const loadUsers = async () => {
const response = await fetch("/some-api");
const data = await response.json();
setUsers(data);
};
loadUsers();
}, []);
const weekAgo = new Date();
weekAgo.setDate(weekAgo.getDate() - 7);
return (
<ul>
{users
.filter((user) => !user.isBanned && user.lastActivityAt >= weekAgo)
.map((user) => (
<li key={user.id}>
<img src={user.avatarUrl} alt="" />
<p>{user.fullName}</p>
<small>{user.role}</small>
</li>
))}
</ul>
);
};
export default ActiveUsersList;这个组件虽然代码不多,但是做了很多事情:获取数据、过滤数据、根据数据渲染UI。
首先按数据逻辑和UI渲染拆分,其中数据逻辑部分:
useEffect 总是一个可能的拆分点,因为它总是在处理副作用,如果useEffect 和 useState 成对出现,通常可以提取到一个 自定义 Hook。
const useUsers = () => {
const [users, setUsers] = useState([])
useEffect(() => {
const loadUsers = async () => {
const response = await fetch('/some-api')
const data = await response.json()
setUsers(data)
}
loadUsers()
}, [])
return { users }
}useUsers Hook 只关心一件事——从API中获取用户数据。
渲染UI部分:
组件渲染时对对象数组进行遍历时,都应该注意它为每个数组项生成的 JSX 的复杂性。如果它是一个没有附加任何事件处理函数的单行代码,将其保持内联是完全没有问题的。但对于更复杂的JSX,将其提取到单独的组件中。
const UserItem = ({ user }) => {
return (
<li>
<img src={user.avatarUrl} />
<p>{user.fullName}</p>
<small>{user.role}</small>
</li>
)
}接着我们按数据逻辑再拆分:
从 API 获取到的用户列表中过滤出所有非活跃用户的逻辑是相对独立的,可以在其他部分重用,所以可以将其提取到一个公共函数中。同时组合之前的自定义hook,我们抽象出了整个组件的数据逻辑部分。
const getOnlyActive = (users) => {
const weekAgo = new Date()
weekAgo.setDate(weekAgo.getDate() - 7)
return users.filter(user => !user.isBanned && user.lastActivityAt >= weekAgo)
}
const useActiveUsers = () => {
const { users } = useUsers()
const activeUsers = useMemo(() => {
return getOnlyActive(users)
}, [users])
return { activeUsers }
}改造后的组件只剩下两个职责:获取数据和渲染UI。
const useUsers = () => {
const [users, setUsers] = useState([])
useEffect(() => {
const loadUsers = async () => {
const response = await fetch('/some-api')
const data = await response.json()
setUsers(data)
}
loadUsers()
}, [])
return { users }
}
const UserItem = ({ user }) => {
return (
<li>
<img src={user.avatarUrl} />
<p>{user.fullName}</p>
<small>{user.role}</small>
</li>
)
}
const getOnlyActive = (users) => {
const weekAgo = new Date()
weekAgo.setDate(weekAgo.getDate() - 7)
return users.filter(user => !user.isBanned && user.lastActivityAt >= weekAgo)
}
const useActiveUsers = () => {
const { users } = useUsers()
const activeUsers = useMemo(() => {
return getOnlyActive(users)
}, [users])
return { activeUsers }
}
const ActiveUsersList = () => {
const { activeUsers } = useActiveUsers()
return (
<ul>
{activeUsers.map(user =>
<UserItem key={user.id} user={user} />
)}
</ul>
)
}遵循单一职责原则,我们有效地采用了大量独立的代码并使其更加模块化,模块化的代码更容易测试和维护。
组件应该对扩展开放,对修改关闭。允许在不更改源代码的情况下扩展组件的方式来构造组件。
良好的组件应该封装内部结构和实现细节,仅提供一些必要的props来控制其行为和输出,将其容易变化的部分交由外部
组合是组件间依赖最基本的方式,(使用children,render props,或者 HOC)
例子1:
const Header = () => {
const { pathname } = useRouter()
return (
<header>
<Logo />
<Actions>
{pathname === '/dashboard' && <Link to="/events/new">Create event</Link>}
{pathname === '/' && <Link to="/dashboard">Go to dashboard</Link>}
</Actions>
</header>
)
}
const HomePage = () => (
<>
<Header />
<OtherHomeStuff />
</>
)
const DashboardPage = () => (
<>
<Header />
<OtherDashboardStuff />
</>
)根据所在页面的不同,呈现指向不同页面组件的链接。那现在考虑一下,如果需要将这个Header组件添加到更多的页面中会发生什么呢?每次创建新页面时,都需要引用 Header 组件,并修改其内部实现。这种方式使得 Header 组件与使用它的上下文紧密耦合。
为了解决这个问题,我们可以使用组件组合。Header 组件不需要关心它将在内部渲染什么,相反,它可以将此责任委托给将使用 children 属性的组件:
const Header = ({ children }) => (
<header>
<Logo />
<Actions>
{children}
</Actions>
</header>
)
const HomePage = () => (
<>
<Header>
<Link to="/dashboard">Go to dashboard</Link>
</Header>
<OtherHomeStuff />
</>
)
const DashboardPage = () => (
<>
<Header>
<Link to="/events/new">Create event</Link>
</Header>
<OtherDashboardStuff />
</>
)使用这种方法,我们完全删除了 Header 组件内部的变量逻辑。现在可以使用组合将想要的任何内容放在Header中,而无需修改组件本身。
遵循开放封闭原则,可以减少组件之间的耦合,使它们更具可扩展性和可重用性。
例子2:
import api from '~/common/api'
const LoginForm = () => {
const [email, setEmail] = useState('')
const [password, setPassword] = useState('')
const handleSubmit = async (evt) => {
evt.preventDefault()
await api.login(email, password)
}
return (
<form onSubmit={handleSubmit}>
<input type="email" value={email} onChange={e => setEmail(e.target.value)} />
<input type="password" value={password} onChange={e => setPassword(e.target.value)} />
<button type="submit">Log in</button>
</form>
)
}LoginForm 组件直接引用了 api 模块,因此它们之间存在紧密耦合。这种依赖关系就会导致一个组件的更改会影响其他组件。依赖倒置原则就提倡打破这种耦合
import api from '~/common/api'
const ConnectedLoginForm = () => {
const handleSubmit = async (email, password) => {
await api.login(email, password)
}
return (
<LoginForm onSubmit={handleSubmit} />
)
}ConnectedLoginForm 组件充当 api 和 LoginForm 之间的粘合剂,而它们本身保持完全独立。这样就可以对这两个组件进行单独的修改和维护,而不必担心修改会影响其他组件。
规则0拆分最小粒度,规则1最小合理粒度,规则2最小化依赖
自动化测试就像健身一样,大家都知道有用,但就是不去做
自动化测试是最简单最有效的保证质量的手段,也是最好的设计文档,它可以:
因为人工回归根本就不靠谱,又低效,单元测试是最高效验证代码是否符合预期的方式。
几乎组件都不会写文档,除了作者没人能知道为什么这样设计,自动化的测试代码可以很好的表达意图
如果一个组件测试不易于测试,很大可能是你的组件设计存在问题,如下例子:
import React from "react";
import { render, screen } from "@testing-library/react";
import ActiveUserList from "../ActiveUserList";
describe("<ActiveUserList />", () => {
it("fetch users from some-api", () => {
//
});
it("only renders active users for the last 7 days", () => {
//
});
it("only renders active users who are not banned", () => {
//
});
it("renders active user list", () => {
//
});
});由于测试在重要,我会有一篇单独的文章来描述怎么写测试。
不管类组件还是函数组件通常都会在一个模块文件中?那个一个模块文件多少行合适呢?
就像是一个函数多少行才合适一样,存在争议,但是我做了一点优化,具体操作如下:
假设我们设定 一个组件文件的的行数设置为,X1和X2,即最大 100 行(类组件) 和 50 行(函数组件,毕竟函数组件自称可以写更少的代码)
编写组件发现超过初始值,优先使用 原则1 和 原则2,得到Y1,X2
如果第2步无法解决,即Y1和Y2大于初始值X1和X2,则Y1和Y2作为新的初始值
可以通过 ESLint 输出最大的 组件 行数,持续更新 最大的阈值
这个原则是最简单的,也是最有效的,它核心在于:
1.X值并不是固定,而是根据组件的添加或删除不断更新的,它是那一时刻最合理的最大行数
2.它会强制我们review和使用原则1和原则2进行优化
3.持续优化,最大行数不会越来越大
具体可以设置 ESLint和SonarQube的规则。
为什么会有大组件和大函数很难拆分?命名是其中一个最大的障碍。好的命名是观其名知其意,无需要打开实现查看细节;坏的命名是只有上帝和ta才知道为什么这样命名,再过一段时间,只有上帝知道。
命名从来不是一个简单的事情,由于它太重要了,我写个一篇单独的文章。
除了上述原则之外,实践过程还有一些小技巧。
组件UML图是UML在组件设计中的一种应用,由于组件间通常是嵌套的结构,通过组件UML图,我们很清晰地看到一个复杂组件的全局。它可以显示 State,Props,Methods,以及与其它组件的关系,特别是各个组件的职责,以表格为例子:
组件UML同时也是很好的文档,为组件的维护和重构提供基础。
在我看来不管是antd还是mui,或element-ui,它们的组件的设计远比它们实现的功能更重要,每一个组件的源码让我们清晰地看到为了实现某一个功能,需要清晰的职责和简明的API设计,以及封装,才最终形成一个可复用的组件。
写好组件的最简单方法就是模仿优秀的组件。
特别是组件 的 Props 和 State 接口添加注释,能快速了解各个字段的含义
interface State {
/**
* 数量
*/
count: number;
}
interface Props {
/**
* 数量
*/
count: number;
}好的组件的结构设计需要经验的累积和业务理解,所以不能一蹴而就,一个组件完成业务所需功能之后,我们还需要不断地优化组件,有两个很好的时间点或机会:
通常这个时候是优化组件的最好的时机,我需要重新审视组件的设计是否和合理,是否需要重构,而不是简单的代码的堆砌,或不知其所以然地修复。
组件在团队内被维护,需要团队每个人对组件的设计要有统一的理解,通过定期的 review,可以达到知识的分享,又可以让那些正常工作但很少会被改到的组件同样地不断改进。同时为了需求快速交付和验证,难免不了技术债的累积,这些都需要我们有计划的优化和解决。
当你发现有更好的解决方案或第三库,可以马上提一个 issue 来记录潜在的重构。
组件的维护其实就是代码的维护,如果单纯靠需求或缺陷来驱动的话,很难降低代码腐化的速度,尽管 code review 或是 新的解决方案并没有解决直接的需求或缺陷问题,但它就像维生素C或健身那样,可以提升你的体质,预防生病。随着项目体积的增大,复杂组件的增多,为了保证组件的质量和设计,我们需要更多的维度或角度来持续改进我们的代码。
持续改进是一个不断的过程,而不是一个结果。重构一书中营地法则非常适合持续改进。
我们应该至少在离开营地时,让营地比我们到来时更干净
正如我们写代码提MR的时候,都保证每一次合并都让组件代码变得更好一点。
语义化的标签最大的好处就是让页面或组件具有良好的语义和结构,举例如下:
见其名知其意是我们写出易维护的代码基础,也许在HTML5之前你没得选,现在都2022年,不要再使用无语义化的 div + css + span 了。
常用的HTML5语义化标签:
| 标签 | 作用 | |
|---|---|---|
| header | 网页或section的页眉 | |
| footer | 网页或section的页脚 | |
| hgroup | 网页或section的标题组 | 多个h1-h6时 |
| nav | 页面的导航链接区域 | |
| aside | 独立的内容区域 | |
| section | 文档中的“节”或“段” | |
| article | 网页中自成一体的内容 | |
| address | 地址 | |
| h1-h6 | 标题 |
详细使用场景可以参考:https://html.spec.whatwg.org/multipage/sections.html#the-header-element
注释掉的代码真的是百害而无一利,它会:
-
分散我们注意力
-
增加我们的认知负荷
-
随着时间的推移,它容易过期
被注释掉的代码看起来像是“遗产”,大部分情况下你会后悔使用了这些“遗产”,所以不用的代码统统删掉,相信 git diff。
// ❌
function foo(bar) {
const baz = bar(false)
// we no longer do this for some good reason
// if (baz === 'foobar') {
// return baz
// } else {
// return bar.foobar()
// }
return baz
}
// ✅
function foo(bar) {
return bar(false)
}
不管是自定义Hook 还是 Redux提供 connect,将组件与副作用或store进行关联都很简单(几行代码),但是这样会增加组件的复杂度,以及组件不易测试。尽量让副作用或者与store关联都在父层级去做,然后父层级通过 props 传递到子组件。
有条理的 import 会让人赏心悦目,推荐使用以下分组和排序:
1.react
2.第三方库(存在于 node_modules 内)
3.内部(存在于 src 内).
// ❌
import React, { useState, useEffect, useCallback } from "react";
import Typography from "@material-ui/core/Typography";
import Divider from "@material-ui/core/Divider";
import Title from "../components/Title";
import Navigation from "../components/Navigation";
import DialogActions from "@material-ui/core/DialogActions"
import { getServiceURL } from '../../utils/getServiceURL";
import Grid from "@material-ui/core/Grid";
import Paragraph from "../components/Paragprah";
import { sectionTitleEnum } from "../../constants";
import { useSelector, useDispatch } from "react-redux";
import Box from "@material-ui/core/Box";
import axios from 'axios';
import { DatePicker } from "@material-ui/pickers";
import { Formik } from "formik";
import CustomButton from "../components/CustomButton";
...
// ✅
import React, { useState, useEffect, useCallback } from "react";
import { useSelector, useDispatch } from "react-redux";
import { Formik } from "formik";
import axios from 'axios';
import Typography from "@material-ui/core/Typography";
import Divider from "@material-ui/core/Divider";
import Box from "@material-ui/core/Box";
import DialogActions from "@material-ui/core/DialogActions";
import Grid from "@material-ui/core/Grid";
import { DatePicker } from "@material-ui/pickers";
import { getServiceURL } from '../../utils/getServiceURL";
import { sectionTitleEnum } from "../../constants";
import CustomButton from "../components/CustomButton";
import Title from "../components/Title";
import Navigation from "../components/Navigation";
import Paragraph from "../components/Paragraph";1.React哲学[https://zh-hans.reactjs.org/docs/thinking-in-react.html]
2.Applying SOLID principles in React[https://konstantinlebedev.com/solid-in-react/]
3.Applying SOLID To React[https://medium.com/docler-engineering/applying-solid-to-react-ca6d1ff926a4]
4.面向对象编程的 SOLID 原则[https://chinese.freecodecamp.org/news/solid-principles/]
5.7 Architectural Attributes of a Reliable React Component[https://dmitripavlutin.com/7-architectural-attributes-of-a-reliable-react-component/]
6.组件原子设计[https://atomicdesign.bradfrost.com/]
7.前端组件设计之一——设计原则[https://juejin.cn/post/6844904032700481550]
8.请不要注释掉代码[https://kentcdodds.com/blog/please-dont-commit-commented-out-code]



